08 fev. 2022

Neurônios Artificiais – Uma Breve Introdução

Em aprendizado de máquina, temos três diferentes tipos de aprendizado: Aprendizado Supervisionado, Aprendizado não-Supervisionado e Aprendizado por reforço.
Nysio Chrysostomo
Cientista de Dados I
blogAbstractMinutes
blogAbstractTimeReading
Business professional sitting in a modern conference room, reflecting on ideas and strategies for innovation and growth.
Intersetorial
Tendências de technologia
IA
download
contact
share
No caso de redes neurais artificiais, trabalharemos com o aprendizado supervisionado.

O termo supervisionado significa que temos um conjunto de dados, com as classes definidas (entrada) e os sinais de saída (labels) já esperados. Por exemplo, podemos treinar a rede neural com imagens de um objeto e esperamos que, após o modelo treinado nos “mostrar” a imagem do mesmo objeto, o modelo será capaz de nos “dizer” se o objeto mostrado está ou não na imagem apresentada. Essa é uma tarefa de classificação.

Atualmente, temos ouvido falar cada vez mais de redes neurais artificiais, mas como essas redes são formadas?

Ao pensar em rede, sabemos que temos um conjunto de nós trabalhando juntos. Cada unidade ou nó da rede neural artificial, é o neurônio artificial.

Nesse texto, vamos tratar da unidade que compõe a rede neural. Será feita uma breve introdução do funcionamento do neurônio artificial. Uma vez que entendemos como foi concebido e como funciona o neurônio artificial, podemos começar a imaginar como a rede neural artificial funciona. Obviamente, temos outras características associadas às redes neurais. Aqui, vamos entender o neurônio artificial e mais adiante, em outros conteúdos complementares, falaremos de mais outras características.

A inspiração para o neurônio artificial é o neurônio biológico. Warren McCulloch e Walter Pitts tentaram entender como o neurônio biológico funciona no cérebro, e a partir daí, criar um modelo de inteligência artificial. Foi quando, em 1943, publicaram o primeiro conceito simplificado de uma célula cerebral. McCulltoch-Pitts (MCP) – “A Logical Calculus of the Ideas Immanent in Nervous Activity“. Os neurônios são células nervosas interconectadas, que processam e transmitem sinais químicos.

McCulloch e Pitts propuseram o neurônio artificial como uma espécie de portal binário. Múltiplos sinais chegam até os dendritos e são integrados no corpo da célula. Quando o acúmulo de sinais no corpo da célula exceder um certo limite, um sinal de saída é emitido, passando através do axônio.

Diagram of a biological neuron labeled in Portuguese, showing dendrites receiving input signals, the cell body with nucleus, an axon transmitting signals, and axon terminals producing output signals.

Alguns anos depois, Frank Rosenblatt, publicou o trabalho “The Perceptron: A Perceiving and Recognizing Automation“. Foi a proposta de um algoritmo capaz de encontrar o melhor coeficiente de peso e depois multiplicado com a entrada, para decidir se o neurônio artificial transmitirá ou não o sinal de saída. Isso dentro de um contexto de aprendizado supervisionado, resultando na predição que nos diz se a entrada pertence ou não a uma determinada classe.

Uma Introdução ao Modelo Perceptron

A seguir, vamos examinar brevemente a definição formal de um neurônio artificial. Podemos imaginar que a ideia da tarefa de um neurônio artificial é a de classificação binária. Considerando duas classes, temos 1 (classe positiva), e -1 (classe negativa). Uma parte importante do neurônio artificial é a função de decisão: ϕ(z).

A função de decisão faz uma combinação linear com os sinais de entrada, x, e o vetor de pesos correspondente, w, onde z é a entrada da rede:

Mathematical diagram showing a linear equation alongside vector representations of weights and inputs in column matrix form.

A entrada de features e seus pesos associados, x e w, é a entrada da rede z. Após fazer a combinação linear ϕ(z), se o resultado for maior que o limiar ɵ , será predito a classe 1, caso contrário, a classe -1. No caso do algoritmo perceptron, a função de decisão terá um resultado para cada unidade da rede. Uma rede neural artificial, é composta por camadas com neurônios artificiais.

Mathematical expression showing a threshold activation function where φ(z) outputs 1 when z is greater than or equal to a threshold θ, and −1 otherwise.

Vejamos uma ilustração de entrada e saída do neurônio artificial:

Diagram of a neuron model where multiple inputs  𝑥 1 … 𝑥 𝑛 x 1 	​  …x n 	​   with corresponding weights  𝑤 1 … 𝑤 𝑛 w 1 	​  …w n 	​   feed into an activation function  𝜙 ( 𝑧 ) ϕ(z), producing an output  𝑦 y.

Estamos analisando o funcionamento de um único neurônio artificial.

Em uma rede neural artificial, o número de neurônios artificias em cada da rede neural é variável, a depender do problema que estamos lidando. Quando a saída de um neurônio artificial é maior que zero, será disparado um sinal para a próxima camada da rede neural, caso contrário nenhum sinal será emitido.

Em particular, o modelo perceptron, só pode ser aplicado em funções lineares. A fim de ajustar o modelo, temos o conceito de bias. Podemos imaginar o bias como uma taxa de ajuste constante, que ajuda a manter a linearidade da função.

Estamos tratando de redes neurais com uma breve introdução ao neurônio artificial, que compõe a rede neural, portanto, trata-se de modelo de aprendizado supervisionado. Ao treinar nossa rede neural, teremos um conjunto de dados com as classes separadas e para o treinamento.

Diagram of an artificial neuron including a bias input  𝑥 0 = 1 x 0 	​  =1 with weight  𝑤 0 = − 𝜃 w 0 	​  =−θ, alongside inputs  𝑥 1 … 𝑥 𝑛 x 1 	​  …x n 	​   and corresponding weights feeding into an activation function  𝜙 ( 𝑧 ) ϕ(z) that produces output  𝑦 y.

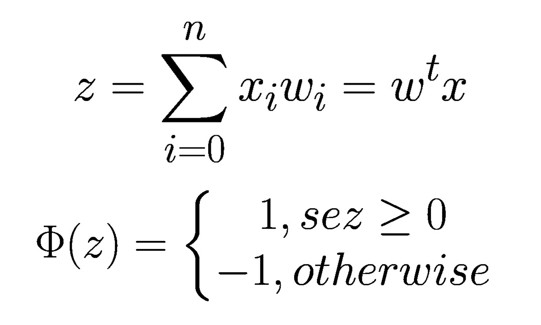
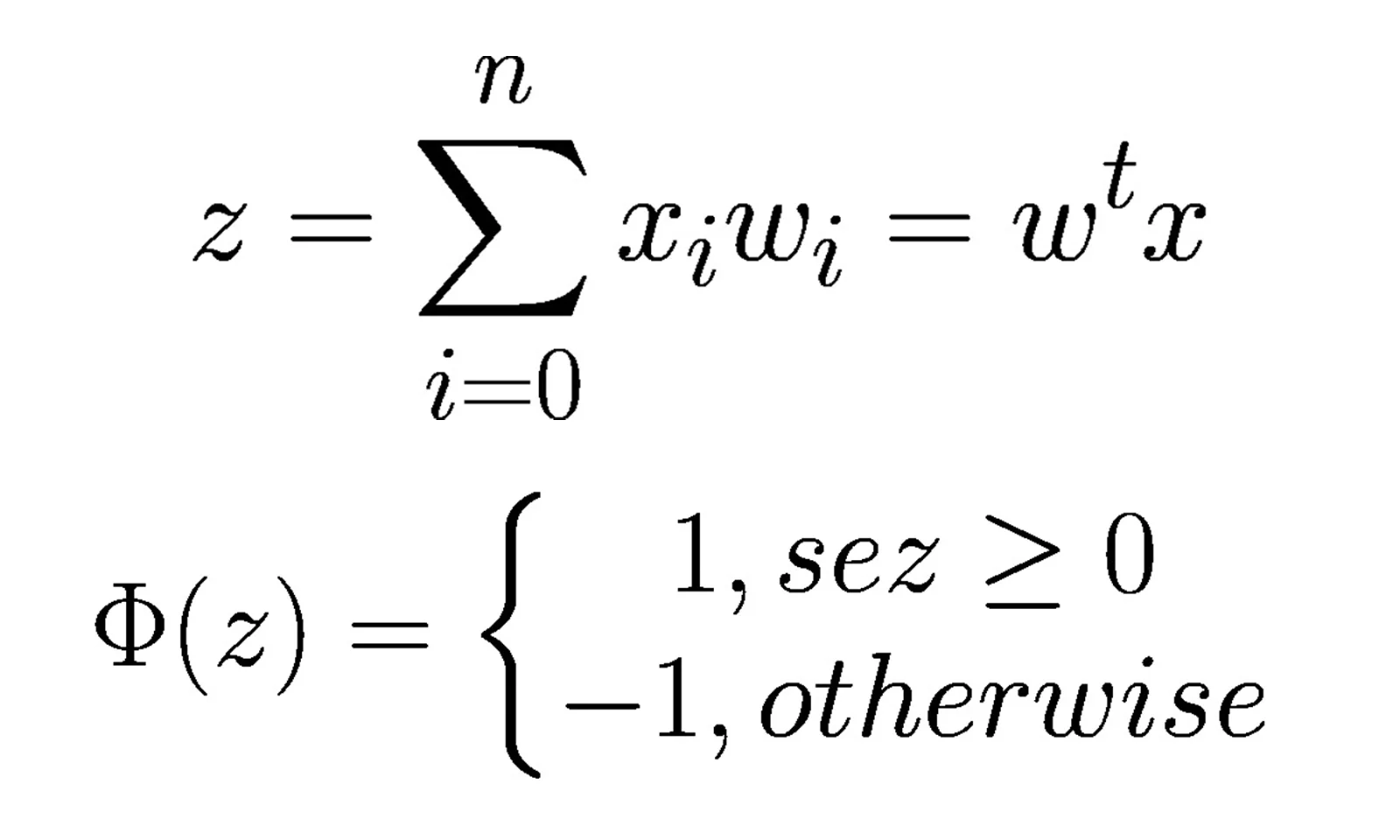
Agora que introduzimos o conceito de bias, podemos trazer o limiar para o lado esquerdo da equação, com o peso-zero como w_0= -θ e x_0=1. Dessa forma, vamos escrever a formalização matemática de maneira mais compacta.

Mathematical expression showing the perceptron weighted sum  𝑧 = ∑ 𝑖 = 0 𝑛 𝑥 𝑖 𝑤 𝑖 = 𝑤 𝑡 𝑥 z=∑ i=0 n 	​  x i 	​  w i 	​  =w t x and a binary activation function that outputs 1 when  𝑧 ≥ 0 z≥0 and −1 otherwise.

Usamos a transposta de w, por ser apenas uma forma de escrever a multiplicação das matrizes. Para finalizar, veremos abaixo em um gráfico, como a entrada da rede z, é “esmagada” em uma saída binária (-1 ou 1) e como pode ser usada para identificar entre duas classes linearmente separadas.

Scatter plot showing two classes—blue triangles and green circles—separated by a vertical decision boundary where  𝜙 ( 𝑤 𝑡 𝑥 ) = 0 ϕ(w t x)=0, with regions labeled according to perceptron output values.
Plot of a step activation function showing output φ(wᵀx) jumping from −1 to 1 at the threshold, with wᵀx on the horizontal axis and φ(wᵀx) on the vertical axis.

Esse é o modelo perceptron. Não temos código por agora, pois precisamos compreender o modelo básico antes de avançar. Esse é o primeiro artigo de uma série que vai falar sobre rede neural. Fique ligado e nos acompanhe no Terça Tech para saber mais.

Referências

Entre em contato com nossos especialistas.

Nysio Chrysostomo

Cientista de Dados I
message
dataProtectionDeclaration

Explore artigos relacionados